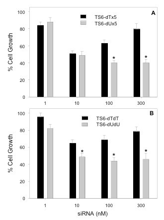
Figure 2

Effect of ssiRNA/siRNA transfection on RKO cell growth. (a) RKO cells were transfected with TS6 ssiRNA containing dTx5 (black bars) or dUx5 overhangs (gray bars) at the indicated concentrations. (b) RKO cells were transfected with TS6 siRNA containing dTdT (black bars) or dUdU overhangs (gray bars) at the indicated concentrations. After 96 h, a WST-1 cell proliferation assay was performed. Mock-transfected cells (LF2000 alone) were normalized to 100%. Values represent the mean ± standard error of the mean (SEM) from at least four separate experiments performed in duplicate. *P values < 0.01 versus dT-containing ssiRNAs or siRNAs at the same concentration.